ДБН В.2.1-10:2009. Основи та фундаменти
У LIRA-FEM* реалізовано вимоги будівельних нормативних документів багатьох країн, у тому числі комплекту українських стандартів ДБН (Державні будівельні норми).
- Розрахунок конструкцій за ДБН
- Навантаження і впливи. Створення комбінацій
- Навантаження і впливи. Збір навантажень
- Конструкції будинків і споруд. Бетонні та залізобетонні конструкції
- Сталеві конструкції
- Конструкції будинків і споруд. Кам’яні та армокам’яні конструкції
- Проектування дерев’яних конструкцій
- Основи і фундаменти
- Будівництво в сейсмічних районах України
ДБН В.2.1-10:2009. Основи та фундаменти
Розрахунок осідання грунтової основи та несної здатності пальової основи, розрахунок основи споруд, що зводяться на просідаючих, набухаючих, засолених, органічних та насипних ґрунтах, розрахунок основи споруд з визначенням деформацій за рахунок консолідації та повзучості ґрунтів за ДБН в LIRA-FEM виконується відповідно до вимог:
- ДБН В.2.1-10:2009. Основи та фундаменти споруд. Зі змінами.
- ДБН В.2.1-10:2018 Основи і фундаменти будівель та споруд. Основні положення
Розрахунок деформацій основи
В нормативі відсутні чіткі вказівки щодо розрахунку осідання фундаментів. Для визначення значень осідань фундаменту представлені загальні вимоги та рекомендації. Вибір способу розрахунку осідання та допустимих величин залишається на розсуд проектувальника.
В LIRA-FEM реалізовано обчислення осідання, яке в загальному випадку складається з трьох компонент, а саме з урахуванням консолідації та повзучості ґрунтів. При розв'язку задачі визначення осідань основи складеної з водонасичених ґрунтів у часі, повне осідання основи обчислюються за формулою:
|
|
(1) |
де Ss – повне осідання основи; S0 – миттєве осідання основи; S1 – осідання, що викликане консолідацією ґрунтів; S2 – осідання, що викликане повзучістю ґрунтів (вторинною консолідацією).
Розрахунок на повне осідання виконується локально в системі ГРУНТ або в процесі повного розрахунку конструкції при обчислення коефіцієнтів пружності основи (коефіцієнтів постелі) С1 и С2.
Характеристики ґрунтів (основні, специфічні, консолідація та повзучість) задаються в діалоговому вікні Характеристики ґрунтів системи ГРУНТ. Деформації від специфічних ґрунтів враховуються в межах стисливої товщі.
1. Визначення загального миттєвого осідання
Обчислення загального миттєвого осідання виконується методом пошарового підсумовування з використанням схеми лінійно-деформованого напівпростору (задача Бусінеска).
Досягнення межі стисливої товщі HС регулюється виконанням умови σzp = k*σzy за допомогою заданого коефіцієнта глибини стисливої товщі k.
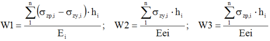
Обчислюються такі складові:
|
|
(2) |
де
Ei – модуль деформації i-го шару ґрунту по гілці первинного навантаження;
Eei – модуль деформації i-го шару ґрунту по гілці вторинного навантаження; за умовчанням Eei = Ei;
Гzp,i – напруга в i-тому шарі ґрунту від зовнішнього навантаження;
Гzy,i – напруга в i-тому шарі від власної ваги ґрунту, вийнятого з котловану;
n – кількість підшарів ґрунту від підошви фундаменту до глибини стискуваної товщі HС.
Якщо власна вага ґрунту на рівні підошви більша за середній тиск під підошвою, то осадка S = 0.8*W3, інакше осадка S = 0.8*(W1 + W2).
2. Визначення осідання за рахунок консолідації
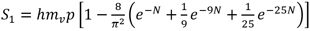
Осідання для будь-якого часу t за рахунок консолідації визначається за формулою:
|
|
(3) |
де h - Товщина елементарного шару; mv – коефіцієнт відносної стисливості; p – тиск, який діє на вершині шару; N - величина, що визначається за формулою:
|
|
(4) |
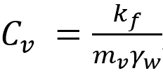
де t – час визначення осадок; Cv – коефіцієнт консолідації ґрунту, що визначається за формулою:
|
|
(5) |
де kf – коефіцієнт фільтрації; іw – питома вага води.
Для визначення опадки консолідації певного шару ІГЕ необхідно задати відповідні характеристики у діалоговому вікні «Характеристики ґрунтів», при переході на вкладку «Консолідація». У таблиці характеристик ґрунтів необхідно задати такі параметри:
- Номер ІГЕ. Цей номер повинен відповідати номеру ІГЕ в основній таблиці Характеристик ґрунтів.
- Коефіцієнт відносної стисливості mv.
- Коефіцієнт фільтрації kf.
- Час визначення повних деформацій основ (у роках).
3. Визначення осідання (вторинної консолідації) за рахунок повзучості
Явище повзучості ґрунтів є наслідком процесів, які відбуваються в ґрунтах під час первинної консолідації (ущільнення ґрунту внаслідок витискання води з пор ґрунту, фільтрації). Тому повзучість також називають вторинною консолідацією.
Повзучість ґрунтів розвивається після того, як фільтраційна (первинна) консолідація вважається усталеною (або закінченою).
Осідання за рахунок повзучості (вторинної консолідації) в LIRA-FEM визначається за формулою:
|
|
(6) |
де β – коефіцієнт, що дорівнює 0.8; hi – товщина i-го шару; bki – параметр повзучості ґрунту, що залежить від додаткового тиску (тиску від зовнішнього навантаження) у цьому шарі і визначається в результаті проведення компресійних випробувань; t – час визначення осадок; te – час закінчення фільтраційної (первинної) консолідації.
Для визначення часу закінчення фільтраційної (первинної) консолідації te використовується наступний алгоритм.
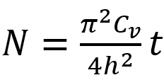
У рівнянні (3) вираз у квадратних дужках називають ступенем консолідації U:
|
|
(7) |
Деформації первинної консолідації вважають усталеними, коли ступінь консолідації U досягає 95% та більше. Якщо в рівняння (7) підставити величину U=0.95, тоді можна знайти значення N. В цьому випадку величина N буде дорівнювати 2.8. Застосовуючи формулу (4), можна визначити час усталеної консолідації:
|
|
(8) |
Якщо у рівняння (8) підставити N = 2.8, тоді час усталеної консолідації дорівнюватиме:
|
|
(9) |
Для визначення опадки повзучості торф'яного покладу необхідно задати відповідні характеристики в діалоговому вікні «Характеристики ґрунтів», при переході на вкладку «Повзучість». У таблиці параметрів ґрунтів необхідно задати наступні параметри:
- Номер ІГЕ. Цей номер повинен відповідати номеру ІГЕ в основній таблиці Характеристик ґрунтів.
- Результати компресійних випробувань ґрунту (залежність параметру повзучості від тиску):
- Тиск, Р.
- Параметр повзучості bk.
Обчислення коефіцієнтів пружності основи
Для обчислення коефіцієнтів пружності основи в розрахунковій точці з координатами (x, y) використовуються середні (в межах зафіксованої глибини стисливої товщі Hc) значення модуля деформації E0 і коефіцієнта Пуассона ν0. Ці значення обчислюються за формулами:
|
|
(10) |
|
|
|
(11) |
Метод 1. Розрахунок для моделі Пастернака
Значення коефіцієнта пружності основи C1 в розрахунковій точці з координатами (x, y) визначається за формулою:
|
|
(12) |
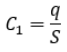
Метод 2. Розрахунок для моделі Вінклера-Фуса
Значення коефіцієнта пружності основи C1 в розрахунковій точці з координатами (x, y) визначається за формулою:
|
|
(13) |
де q – значення рівномірно розподіленого навантаження в розрахунковій точці з координатами (x, y).
Метод 3. Модифікований розрахунок для моделі Пастернака
Значення коефіцієнта пружності основи C1 в розрахунковій точці з координатами (x, y) визначається, як і в методі 1, за формулою:
|
|
(14) |
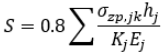
... з тією різницею, що при визначенні середнього модуля деформації E0 враховується поправний коефіцієнт Kj, а додаткове вертикальне напруження по глибині розподіляється рівномірно:
|
|
(15) |
Такий самий коефіцієнт вводиться і при визначенні осідання:
|
|
(16) |
Прийнято, що коефіцієнт K змінюється від 1 до 12 за законом квадратної параболи в межах стисливої товщі Hc:
|
|
(17) |
Метод 3 запропонований з метою усунути недолік, виявлений при оцінці результатів розрахунку за першими двома методами. А саме, неможливість врахувати наростання модуля деформації по глибині, що призводить до завищених значень осідань, а отже, й до занижених значень коефіцієнта пружності основи C1.
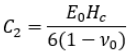
Для методів 1 та 3 значення коефіцієнта пружності основи C2 в розрахунковій точці з координатами (x, y) визначається за формулою:
|
|
(18) |
Для метода 1 цю формулу можна записати як:
|
|
(19) |
Для інших методів коефіцієнт пружності основи C2 не обчислюється.
Метод 4, 5, 6.
Метод 4 – визначення коефіцієнтів пружності основи C1 при динамічних впливах на фундамент (за формулою Савінова).
Метод 5 – визначення коефіцієнтів пружного рівномірного стиску Cz (C1z) при динамічних впливах на фундамент машин.
Метод 6 – визначення коефіцієнтів пружності основи C1 з урахуванням впливу динамічних хвиль на пружні властивості ґрунту.
Оцініть можливості
Якщо у вас все ще є сумніви, завантажте демонстраційну версію та спробуйте або зв'яжіться з нашою службою підтримки для отримання більш детальної інформації.





