Єврокод 7. Основи та фундаменти
У LIRA-FEM* реалізовано вимоги будівельних нормативних документів багатьох країн, у тому числі комплекту гармонізованих європейських стандартів Eurocodes (Єврокоди), а також національних додатків до Eurocodes для Республіки Казахстан, Республіки Білорусь та України.
Єврокод 7. Основи та фундаменти
У LIRA-FEM (ЛІРА-САПР) реалізовано розрахунок осаду ґрунтової основи з урахуванням консолідації по Єврокодах:
- Єврокод EN 1997-1:2004/2011 Єврокод 7. Проектування геотехнічне. Частина 1. Загальні правила;
- СП РК EN 1997-1:2004/2011+НТП Проектування геотехнічне. Частина 1. Загальні правила.
Загальні положення
У Єврокоді 7 відсутні чіткі вказівки щодо розрахунку осадок фундаментів. Для визначення значень осадки фундаменту представлені загальні вимоги та рекомендації. Вибір способу розрахунку осадки та допустимих величин залишається на розсуд проектувальника або національного нормотворчого органу.
У LIRA-FEM реалізовано обчислення осадки S, що складається з трьох компонентів згідно з EN 1997-1:2004:
|
|
(1) |
де Ss – повні деформації основи; S0 – миттєва осадка основи; S1 – осадка, викликана консолідацією; S2 – осадка, викликана повзучістю (вторинна консолідація).
Розрахунок на повну осадку можна виконати локально в системі ҐРУНТ або при повному розрахунку конструкції при обчисленні коефіцієнтів постелі С1 і С2.
1. Загальна миттєва осадка фундаменту
Виробляється методом пошарового підсумовування з використанням схеми лінійно-деформованого напівпростору (задача Буссінеска).
Досягнення кордону стискуваної товщі HС регулюється виконанням умови Гzp = k*Гzg > за допомогою коефіцієнта глибини стискуваної товщі k.
|
|
(2) |
де
Ei – модуль деформації i-го шару ґрунту по гілці первинного навантаження;
Eei – модуль деформації i-го шару ґрунту по гілці вторинного навантаження; за умовчанням Eei = Ei;
Гzp,i – напруга в i-тому шарі ґрунту від зовнішнього навантаження;
Гzy,i – напруга в i-тому шарі від власної ваги ґрунту, вийнятого з котловану;
n – кількість підшарів ґрунту від підошви фундаменту до глибини стискуваної товщі HС.
Якщо власна вага ґрунту на рівні підошви більша за середній тиск під підошвою, то осадка S = 0.8*W3, інакше осадка S = 0.8*(W1 + W2).
Осадка для будь-якого часу t за рахунок консолідації визначається за формулою:
|
|
(3) |
де h - Товщина елементарного шару; mЅ – коефіцієнт відносної стисливості; Б – тиск, який діє на вершині шару; N - величина, що визначається за формулою:
|
|
(4) |
де t – час визначення осадок; Cv – коефіцієнт консолідації ґрунту, що визначається за формулою:
|
|
(5) |
де kf – коефіцієнт фільтрації; іw – питома вага води.
Для визначення опадки консолідації певного шару ІГЕ необхідно задати відповідні характеристики у діалоговому вікні «Характеристики ґрунтів», при переході на вкладку «Консолідація». У таблиці характеристик ґрунтів необхідно задати такі параметри:
- Номер ІГЕ. Цей номер повинен відповідати номеру ІГЕ в основній таблиці Характеристик ґрунтів.
- Коефіцієнт відносної стисливості mv.
- Коефіцієнт фільтрації kf.
- Час визначення повних деформацій основ (у роках).
3. Осадка, викликана повзучістю (вторинна консолідація) за нормами EN 1997-1:2004
Розрахунок осадки вторинної консолідації у LIRA-FEM здійснюється за нормативом СП РК 5.01-102-2013. Методика розрахунку в даному нормативі не суперечить методиці, описаній у Еврокод 7.
Осадка повзучості визначається за формулою:
|
|
(6) |
де І – коефіцієнт, що дорівнює 0.8; hi – товщина i-го шару; bki – параметр повзучості ґрунту, що залежить від додаткового тиску (тиску від зовнішнього навантаження) у цьому шарі і визначається в результаті проведення компресійних випробувань; t – час визначення осадок; te – час закінчення фільтраційної (первинної) консолідації.
Явище повзучості ґрунтів є наслідком процесів, що відбуваються в ґрунтах при первинній консолідації (ущільнення ґрунту внаслідок вичавлювання води із пір ґрунту (фільтрації)). Тому повзучість також називають вторинною консолідацією. Повзучість ґрунтів розвивається після того, як фільтраційна (первинна) консолідація вважається встановленою (або закінченою).
Для визначення часу закінчення фільтраційної (первинної) консолідації te використовується наступний алгоритм.
У рівнянні (2) вираз у квадратних дужках називають ступенем консолідації U:
|
|
(7) |
Деформації первинної консолідації вважають усталеними, коли ступінь консолідації U досягає 95% і більше. Якщо у рівняння (6) підставити величину U=0.95, можна знайти значення N. У такому разі величина N дорівнюватиме 2.8. Використовуючи формулу (3), можна визначити час усталеної консолідації:
|
|
(8) |
Якщо у рівняння (7) підставити N = 2.8, тоді час усталеної консолідації дорівнюватиме:
|
|
(9) |
Для визначення опадки повзучості торф'яного покладу необхідно задати відповідні характеристики в діалоговому вікні «Характеристики ґрунтів», при переході на вкладку «Повзучість». У таблиці параметрів ґрунтів необхідно задати наступні параметри:
- Номер ІГЕ. Цей номер повинен відповідати номеру ІГЕ в основній таблиці Характеристик ґрунтів.
- Результати компресійних випробувань ґрунту (залежність параметру повзучості від тиску):
- Тиск, Р.
- Параметр повзучості bk.
4. Обчислення коефіцієнтів постелі за нормами EN 1997-1:2004.
Для обчислення коефіцієнтів ппостелі використовуються усереднені (у межах зафіксованої глибини стискуваної товщі HС) значення модуля деформації EГР і коефіцієнта бічного розширення mГР. Ці значення обчислюються за формулами:
|
|
(10) |
Метод 1. Коефіцієнт постелі С1 обчислюється на підставі усереднених значень Eгр та mгр за формулою:
|
|
(11) |
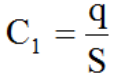
Метод 2. Коефіцієнт постелі С1 обчислюється за формулою Вінклера:
|
|
(12) |
де q – середній тиск під підошвою фундаменту.
Метод 3. Для визначення коефіцієнта постелі С1 використовується формула методу 1. Відмінність полягає в тому, що для визначення усередненого модуля деформації ЕГР3 вводиться поправний коефіцієнт u до величини модуля деформації i-того підшару. Цей коефіцієнт змінюється від u1=1 на рівні підошви фундаменту до un=12 на рівні вже обчисленого кордону стискуваної товщі. Прийнято, що коефіцієнт u змінюється згідно із законом квадратної параболи:
|
|
(13) |
Крім того, приймається, що додаткове вертикальне напруження по глибині рівномірно розподілено. Тоді
|
|
(14) |
Метод 3 запропоновано з метою усунути недоліки перших двох. Для методу 1 - це неможливість врахувати наростання модуля деформації ґрунту за глибиною, що призводить до завищених значень осідань, а відтак і занижених значень коефіцієнта пружньої основи С1. Недолік методу 2 полягає в тому, що в місцях різкої зміни величин прикладених навантажень коефіцієнт пружньої основи С1 також зазнає різкого стрибка, що суперечить здоровому глузду. Цей недолік зберігається навіть у разі використання наростаючого за глибиною модуля деформації ґрунту.
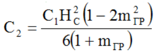
Для методів 1 та 3 коефіцієнт постелі С2 обчислюється за формулою:
|
|
(15) |
Для методу 2 коефіцієнт постелі С2 не обчислюється.
Оцініть можливості
Якщо у вас все ще є сумніви, завантажте демонстраційну версію та спробуйте або зв'яжіться з нашою службою підтримки для отримання більш детальної інформації.




